Vui lòng chỉ chọn một câu hỏi
Hoidap247.com Nhanh chóng, chính xác
+
Danh mục mới
0
2020
Hãy luôn nhớ cảm ơn và vote 5* nếu câu trả lời hữu ích nhé!
1830
-4
1216
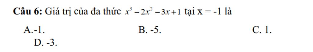
Thay `x=-1` vào đa thức ta được `:`
`(-1)^3 -2.(-1)^2-3.(-1)+1`
`=-1-2.1-3.(-1)+1`
`=-1-2+3+1`
`=-3+3+1`
`=1`
`->bbC`
Hãy giúp mọi người biết câu trả lời này thế nào?
7475
438
4482
Câu `6:`
R=Tại `x=-1` thì $x – 2x^3−3x^2+1$
`=>` Chọn `bb C.`
Bảng tin
Gửi yêu cầu Hủy