Vui lòng chỉ chọn một câu hỏi
Hoidap247.com Nhanh chóng, chính xác
+
Danh mục mới
0
2260
Hãy luôn nhớ cảm ơn và vote 5* nếu câu trả lời hữu ích nhé!
5020
2298
1561
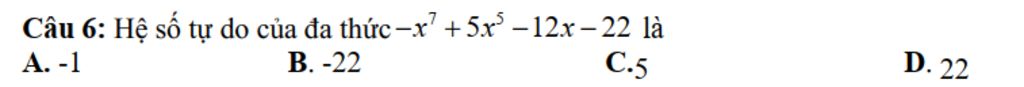
`Accnswer`
`-x^7+5x^5-12x-22`
`->` Hệ số tự do là `-22`
`->bbB`
Hãy giúp mọi người biết câu trả lời này thế nào?
1889
445
1044
Đáp án:
Câu `6:B`
Giải thích các bước giải:
`@` Hệ số tự do của đa thức: `-22`
`⇒B`
Bảng tin
Gửi yêu cầu Hủy