Vui lòng chỉ chọn một câu hỏi
Hoidap247.com Nhanh chóng, chính xác
+
Danh mục mới
0
2520
Hãy luôn nhớ cảm ơn và vote 5* nếu câu trả lời hữu ích nhé!
380
-455
167
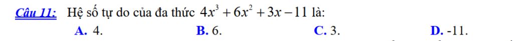
`@` Hệ số tự do của đa thức trên là `-11` vì có số mũ là `0`
`=>` Chọn `D`
Hãy giúp mọi người biết câu trả lời này thế nào?
10057
439
7374
Đáp án:
Giải thích các bước giải:
https://hoidap247.com/cau-hoi/6879359
Bảng tin
Gửi yêu cầu Hủy