

Hãy luôn nhớ cảm ơn và vote 5*
nếu câu trả lời hữu ích nhé!
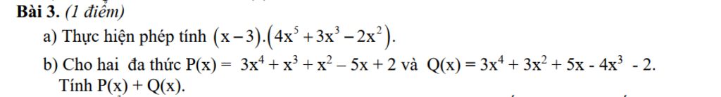
Bài `3 :`
`a)`
`( x - 3 )( 4x^5 + 3x^3 - 2x^2 )`
`= 4x^6 + 3x^4 - 2x^3 - 12x^5 - 9x^3 - 6x^2`
`= 4x^6 + 3x^4 - 11x^3 - 12x^5 - 6x^2`
`b)`
`P(x) + Q(x)`
`= ( 3x^4 + x^3 + x^2 - 5x + 2 ) + ( 3x^4 + 3x^2 + 5x - 4x^3 - 2 )`
`= 3x^4 + x^3 + x^2 - 5x + 2 + 3x^4 + 3x^2 + 5x - 4x^3 - 2`
`= 6x^4 - 3x^3 + 4x^2`
Hãy giúp mọi người biết câu trả lời này thế nào?
a) `(x-3)(4x^5 + 3x^3 - 2x^2)`
`= (x . 4x^5 + x . 3x^3 - x . 2x^2) - (3 . 4x^5 + 3 . 3x^3 - 3 . 2x^2)`
`= (4x^6 + 3x^4 - 2x^3) - (12x^5 + 9x^3 - 6x^2)`
`= 4x^6 + 3x^4 - 2x^3 - 12x^5 - 9x^3 + 6x^2`
`= 4x^6 - 12x^5 + 3x^4 + (-2x^3 - 9x^3) + 6x^2`
`= 4x^6 - 12x^5 + 3x^4 - 11x^3 + 6x^2`
b)
Ta có: `P(x) + Q(x) = (3x^4 + x^3 + x^2 - 5x + 2) + (3x^4 + 3x^2 + 5x - 4x^3 - 2)`
`= 3x^4 + x^3 + x^2 - 5x + 2 + 3x^4 + 3x^2 + 5x - 4x^3 - 2`
`= (3x^4 + 3x^4) + (x^3 - 4x^3) + (x^2 + 3x^2) + (-5x + 5x) + (2 - 2)`
`= 6x^4 - 3x^3 + 4x^2`
Hãy giúp mọi người biết câu trả lời này thế nào?
Bảng tin