Đăng nhập để hỏi chi tiết


Hãy luôn nhớ cảm ơn và vote 5*
nếu câu trả lời hữu ích nhé!
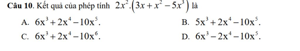
Câu `10:`
`2x^2(3x + x^2 - 5x^3)`
`=2x^2 . 3x + 2x^2 . x^2 + 2x^2 + (-5x^3)`
`= 6x^3 + 2x^4 - 10x^5`
`=>` Chọn `bb A.`
Hãy giúp mọi người biết câu trả lời này thế nào?
Bảng tin