Vui lòng chỉ chọn một câu hỏi
Hoidap247.com Nhanh chóng, chính xác
+
Danh mục mới
0
2180
Hãy luôn nhớ cảm ơn và vote 5* nếu câu trả lời hữu ích nhé!
380
-455
167
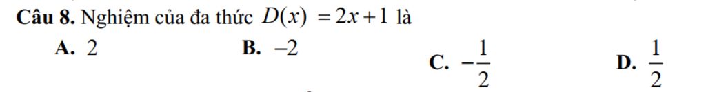
Để đa thức `D(x)` có nghiệm
`=>` `D(x) = 0`
`=> 2x + 1= 0`
`=> 2x = -1`
`=> x =-1/2`
Vậy nghiệm của đa thức là `C. 1/2`
Hãy giúp mọi người biết câu trả lời này thế nào?
Vẫn lâu quá, chx xong
`1` h e off đi thi rồi
Chắc lưu câu rồi về làm
10057
439
7372
A 26/50
https://hoidap247.com/cau-hoi/6849020
Nhanh nhanh
à, anh làm rồi
https://hoidap247.com/cau-hoi/6879296
Đáp án:
Giải thích các bước giải:
Bảng tin
Gửi yêu cầu Hủy
380
-455
167
Vẫn lâu quá, chx xong
380
-455
167
`1` h e off đi thi rồi
380
-455
167
Chắc lưu câu rồi về làm
10057
439
7372
A 26/50
380
-455
167
https://hoidap247.com/cau-hoi/6849020
380
-455
167
Nhanh nhanh
380
-455
167
à, anh làm rồi
380
-455
167
https://hoidap247.com/cau-hoi/6879296