Đăng nhập để hỏi chi tiết


Khai triển các biểu thức sau:
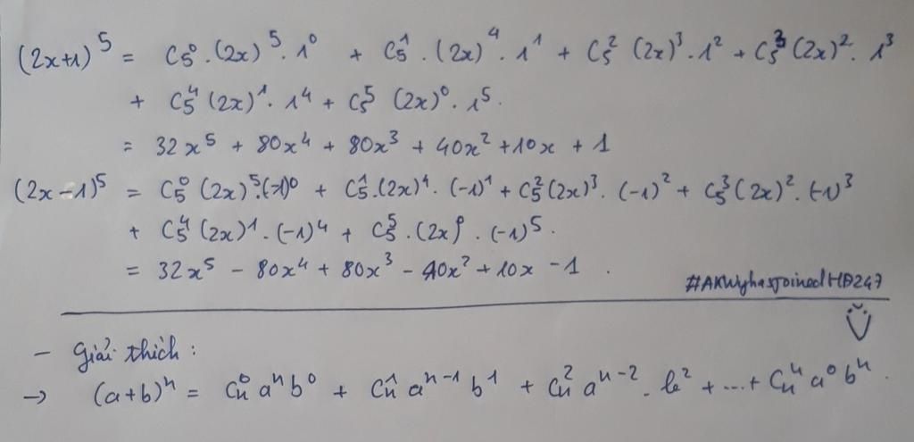
a)(2x+1)^5 b)(2x-1)^5
Giúp mik với
Hãy luôn nhớ cảm ơn và vote 5*
nếu câu trả lời hữu ích nhé!
`a.` `(2x+1)^5`
`=1.32x^5+5.16x^4+10.8x^3+10.4x^2+5.2x+1.1`
`=32x^5+80x^4+80x^3+40x^2+10x+1`
`b.` `(2x-1)^5`
`=1.32x^5-5.16x^4+10.8x^3-10.4x^2+5.2x-1.1`
`=32x^5-80x^4+80x^3-40x^2+10x-1`
Hãy giúp mọi người biết câu trả lời này thế nào?
Bảng tin
0
43
0
Cảm ơn nha