

Hãy luôn nhớ cảm ơn và vote 5*
nếu câu trả lời hữu ích nhé!
$#NgHuuHoang$
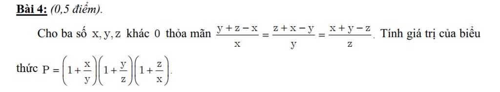
`(y + z - x)/x = (z + x - y)/y = (x + y - z)/z`
`->` `(y + z)/x - 1 = (z + x)/y - 1 = (x + y)/z - 1`
`->` `(y + z)/x = (z + x)/y = (x + y)/z`
Áp dụng tính chất dãy tỉ số bằng nhau, ta có:
`(y + z)/x = (z + x)/y = (x + y)/z = (2( x + y + z))/(x + y + z) = 2`
Với điều kiện: `x + y + z` $\neq$ `0`
Do đó, ta có:
`P = ( 1 + x/y) (1 + y/z) (1 + z/x)`
`P = (y + z)/x . (z + x)/y . (x + y)/z`
`P = (2z)/y . (2x)/z . (2y)/x`
`P = 8`
Vậy biểu thức `P` có giá trị là `8`
Hãy giúp mọi người biết câu trả lời này thế nào?
Bảng tin