Vui lòng chỉ chọn một câu hỏi
Hoidap247.com Nhanh chóng, chính xác
+
Danh mục mới
0
2680
Hãy luôn nhớ cảm ơn và vote 5* nếu câu trả lời hữu ích nhé!
1889
501
1043
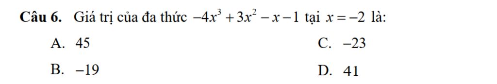
Đáp án:
Câu `6:A`
Giải thích các bước giải:
Gi á trị của đa thức là:
`-4 (-2)^3 + 3(-2)^2 - (-2) - 1`
`= -4.(-8) + 3.4 + 2 - 1`
`= 32 + 12 + 1`
`= 44 +1`
`= 45`
`⇒A`
Hãy giúp mọi người biết câu trả lời này thế nào?
10057
439
7372
Bảng tin
Gửi yêu cầu Hủy