Đăng nhập để hỏi chi tiết


Hãy luôn nhớ cảm ơn và vote 5*
nếu câu trả lời hữu ích nhé!
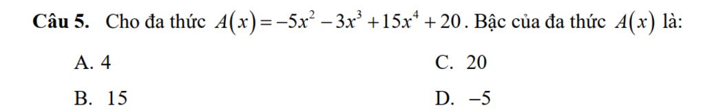
Ta có:
`A(x) = -5x^2 + 3x^3 + 15x^4 + 20`
Sắp xếp theo lũy thừa giảm dần: `A(x) = 15x^4 - 3x^3 - 5x^2 + 20`
`=>` Bậc của đa thức `A(x)` là `4`
`=>` Chọn `A`
Hãy giúp mọi người biết câu trả lời này thế nào?
Bảng tin