Vui lòng chỉ chọn một câu hỏi
Hoidap247.com Nhanh chóng, chính xác
+
Danh mục mới
0
3140
Hãy luôn nhớ cảm ơn và vote 5* nếu câu trả lời hữu ích nhé!
478
444
372
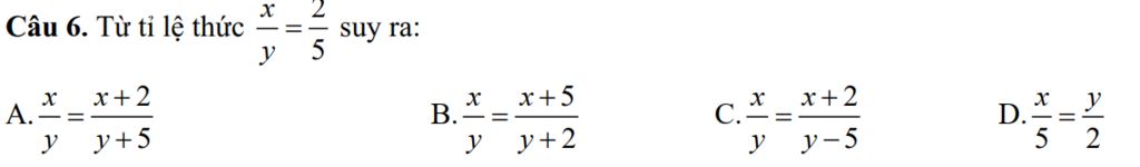
Ta có: `x/y = 2/5`
ADTCDTSBN, ta đc:
`x/y = 2/5 = (x+2)/(y+5)`
`-> A`
Hãy giúp mọi người biết câu trả lời này thế nào?
5020
2253
1562
`Accnswer`
Áp dụng tính chất dãy tỉ số bằng nhau `,` ta có `:`
`x/y=2/5=(x+2)/(y+5)`
`->bbA`
Bảng tin
Gửi yêu cầu Hủy