Vui lòng chỉ chọn một câu hỏi
Hoidap247.com Nhanh chóng, chính xác
+
Danh mục mới
0
1800
Hãy luôn nhớ cảm ơn và vote 5* nếu câu trả lời hữu ích nhé!
1889
445
1044
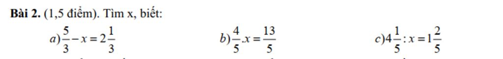
Bài `2:`
`a, 5/3 - x = 2 1/3`
` x = 5/3 - 7/3`
` x = -2/3`
`b, 4/5 x = 13/5`
`⇒ x = 13/5 : 4/5`
`⇒ x = 13/4`
`c, 4 1/5 : x = 1 2/5`
` x = 4 1/5 : 1 2/5`
`x = 21/5 : 7/5`
`x = 3`
Hãy giúp mọi người biết câu trả lời này thế nào?
10057
686
7374
Đáp án:
Giải thích các bước giải:
Bảng tin
Gửi yêu cầu Hủy