Vui lòng chỉ chọn một câu hỏi
Hoidap247.com Nhanh chóng, chính xác
+
Danh mục mới
0
2800
Hãy luôn nhớ cảm ơn và vote 5* nếu câu trả lời hữu ích nhé!
10057
686
7375
Đáp án:
Giải thích các bước giải:
Hãy giúp mọi người biết câu trả lời này thế nào?
5020
2253
1562
`Accnswer`
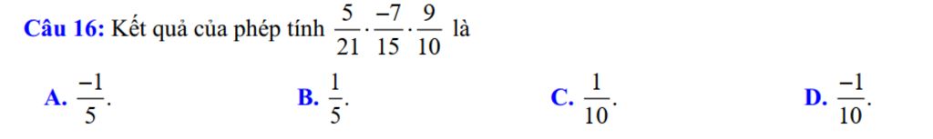
`5/21 . (-7)/15 . 9/10`
`=1/3. (-1)/1 . 3/10`
`=-1/3 . 3/10`
`=-1/10`
`->bbD`
Bảng tin
Gửi yêu cầu Hủy