

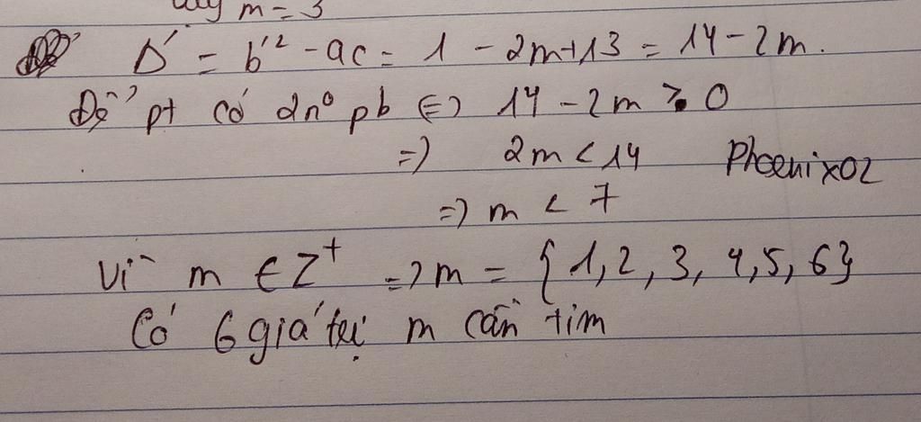
số giá trị nguyên dưong của tham số m để phương trình $x^{2}$ +2x+2m-13+0 có hai nghiệm phân biệt
Hãy luôn nhớ cảm ơn và vote 5*
nếu câu trả lời hữu ích nhé!
`x^2 + 2x + 2m -13 = 0`
`\Delta = 2^2 - 4(2m - 13) = 4 - 8m + 52 = -8m +56`
Để phương trình có `2` nghiệm phân biệt
`=> \Delta >0`
`=> -8m + 56 > 0`
`<=> -8(m -7) > 0`
`<=> m -7 < 0`
`<=> m < 7`
Mà `m` là số nguyên dương
`=> m in {1;2;3;4;5;6}`
Vậy có `6` giá trị nguyên dương của `m` để phương trình có `2` nghiệm phân biệt
Hãy giúp mọi người biết câu trả lời này thế nào?

Bảng tin