

Hãy luôn nhớ cảm ơn và vote 5*
nếu câu trả lời hữu ích nhé!
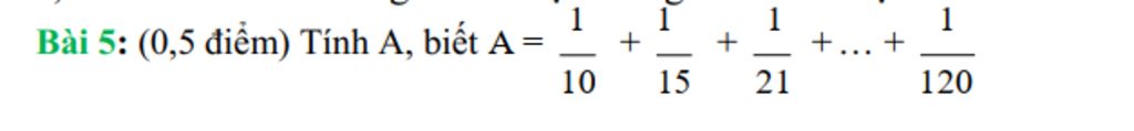
`A=1/10+1/15+1/21+ . . .+1/120`
`=2/20+2/30+2/42+ . . .+2/240`
`=2/4.5 + 2/5.6 +2/6.7+ . . .+2/15.16`
`=2 (1/4.5 +1/5.6 +1/6.7 + . . .+1/15.16)`
`=2 (1/4 -1/5+1/5-1/6+1/6-1/7+...1/15-1/16)`
`=2 (1/4-1/16)`
`=2 (4/16-1/16)`
`=2 . 3/16`
`=3/8`
Vậy `A=3/8`
Hãy giúp mọi người biết câu trả lời này thế nào?
`#HKT`
Đáp án `+` Giải thích các bước giải:
`A = \frac{1}{10} + \frac{1}{15} + \frac{1}{21} + ... + \frac{1}{120}`
`=\frac{2}{20} + \frac{2}{30} + \frac{2}{42} + ... + \frac{2}{240}`
`=2 (\frac{1}{20} + \frac{1}{30} + \frac{1}{42} + ... + \frac{1}{240})`
`=2(\frac{1}{4.5} + \frac{1}{5.6} + \frac{1}{6.7} + ... + \frac{1}{15.16})`
`=2(\frac{1}{4} - \frac{1}{5} + \frac{1}{5} - \frac{1}{6} + \frac{1}{6} - \frac{1}{7} + ... + \frac{1}{15} - \frac{1}{16})`
`=2(\frac{1}{4} - \frac{1}{16})`
`=2 . \frac{3}{16}`
`=\frac{3}{8}`.
Hãy giúp mọi người biết câu trả lời này thế nào?
Bảng tin