

Hãy luôn nhớ cảm ơn và vote 5*
nếu câu trả lời hữu ích nhé!
Đáp án + Giải thích các bước giải:
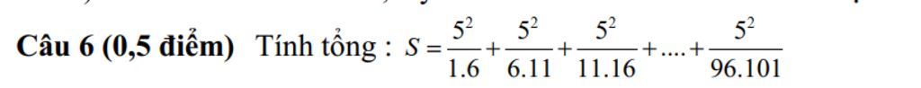
`S = 5^2/1.6 + 5^2/6.11 + 5^2/11.16 + ... + 5^2/96.101`
`S = 5 * (5/1.6 + 5/6.11 + 5/11.16 + ... + 5/96.101)`
`S = 5 * (1/1 - 1/6 + 1/6 - 1/11 + 1/11 - 1/16 + ... + 1/96 - 1/101)`
`S = 5 * (1/1 - 1/101)`
`S = 5 * (101/101 - 1/101)`
`S = 5 * 100/101`
`S = 500/101.`
`=>` Vậy tổng `S = 500/101.`
Hãy giúp mọi người biết câu trả lời này thế nào?
`S = 5 . ( 5/(1.6) + 5/(6.11) + ... + 5/(96.101))`
`S = 5 . ( 1 - 1/6 + 1/6 - 1/11 + ... + 1/96 - 1/101)`
`S = 5 . ( 1 - 1/101)`
`S = 5 . 100/101`
`S = 500 / 101`
Hãy giúp mọi người biết câu trả lời này thế nào?
Bảng tin
56
845
12
đào kiểu j mà đc nhiều v
1754
6
1503
Tìm tcn th.