Vui lòng chỉ chọn một câu hỏi
Hoidap247.com Nhanh chóng, chính xác
+
Danh mục mới
0
2140
Hãy luôn nhớ cảm ơn và vote 5* nếu câu trả lời hữu ích nhé!
5012
2096
1555
`Accnswer`
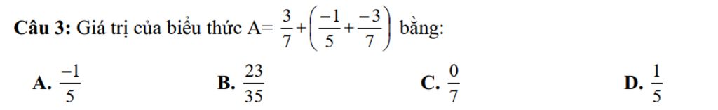
`A=3/7+(-1/5+(-3)/7)`
`=3/7-1/5-3/7`
`=3/7-3/7-1/5`
`=0-1/5`
`=-1/5`
`->bbA`
Hãy giúp mọi người biết câu trả lời này thế nào?
478
414
371
`A = 3/7 - 1/5 - 3/7`
`A = 3/7 - 3/7 - 1/5`
`A = 0 -1/5`
`A = -1/5`
`-> A` ddungs
Bảng tin
Gửi yêu cầu Hủy