

Hãy luôn nhớ cảm ơn và vote 5*
nếu câu trả lời hữu ích nhé!
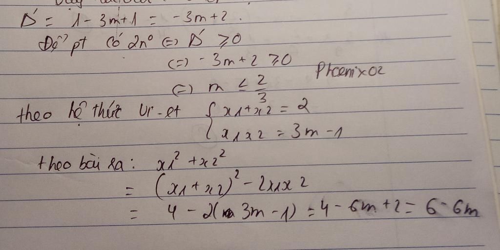
`x^2-2x+3m-1=0`
Theo hệ thức Viète
`{(x_1+x_2=-b/a=2),(x_1x_2=c/a=3m-1):}`
Theo đề bài
`x_1^2+x_2^2`
`= (x_1+x_2)^2-2x_1x_2`
`= 2^2-2(3m-1)`
`= 4-6m+2`
`= 6-6m`.
`b)`
`sqrt[x_1]+sqrt[x_2] (x_1; x_2>=0)`
Đặt `A=sqrt[x_1]+sqrt[x_2] (A>=0)`
`A^2=(sqrt[x_1]+sqrt[x_2])^2`
`A^2=x_1+2sqrt[x_1x_2]+x_2`
`A^2=2+2sqrt[3m-1]`
`A=sqrt[2+2sqrt[3m-1]]`
Hãy giúp mọi người biết câu trả lời này thế nào?

Bảng tin
33
5702
26
ý b nx a;-;
0
27
0
https://hoidap247.com/cau-hoi/6847843 -> giúp tôi
33
5702
26
e cảm ơn a ạ