

giúp mình tính tổng sau với ạ:
D=11c6+11c7+11c8+11c9+11c10+11c11
Hãy luôn nhớ cảm ơn và vote 5*
nếu câu trả lời hữu ích nhé!
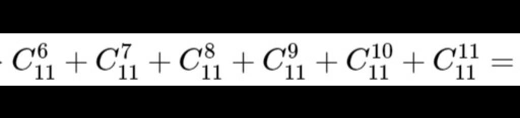
`D=C_11^6+C_11^7+C_11^8+C_11^9+C_11^10+C_11^11`
`=>` `2D=C_11^11+C_11^10+C_11^9+C_11^8+C_11^7+C_11^6+C_11^6+C_11^7+C_11^8+C_11^9+C_11^10+C_11^11`
`=C_11^0+C_11^1+C_11^2+C_11^3+C_11^4+C_11^5+C_11^6+C_11^7+C_11^8+C_11^9+C_11^10+C_11^11`
`=(1+1)^11`
`=2^11`
`=>` `D=2^10=1024`
Hãy giúp mọi người biết câu trả lời này thế nào?

Bảng tin
33
5702
26
a ơi giúp e với ;-; https://hoidap247.com/cau-hoi/6847429