

Một người đi từ A đến B cách nhau 20 km với vận tốc x km/h. Khi từ B về A đường vắng hơn nên người đó đi với vận tốc lớn hơn vận tốc lúc đi là 5 km/h. a) Viết các phân thức theo x biểu thị thời gian lúc đi, thời gian lúc về. b) Tính tổng thời gian người đó di chuyển cả đi và về, biết vận tốc khi đi là 25 km/h. GIÚP EM VỚI,EM CẦN GẤP LẮM RỒI!!!
Hãy luôn nhớ cảm ơn và vote 5*
nếu câu trả lời hữu ích nhé!

Đây là câu trả lời đã được xác thực
Câu trả lời được xác thực chứa thông tin chính xác và đáng tin cậy, được xác nhận hoặc trả lời bởi các chuyên gia, giáo viên hàng đầu của chúng tôi.
Giải thích các bước giải:
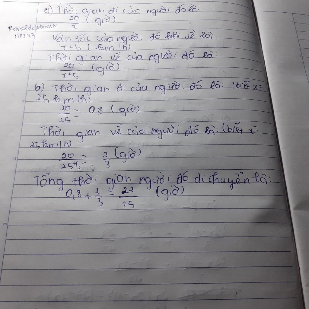
a.Thời gian lúc đi là: $\dfrac{20}x(giờ)$
Vận tốc lúc về là $x+5$ km/h
Thời gian lcus về là: $\dfrac{20}{x+5}$ giờ
b.Tổng thời gian người đi di chuyển là:
$$\dfrac{20}x+\dfrac{20}{x+5}(giờ)$$
Tại $x=25$ thì tổng thời gian người đó đi và về là:
$$\dfrac{20}{25}+\dfrac{20}{25+5}=\dfrac{22}{15}(giờ)$$
Hãy giúp mọi người biết câu trả lời này thế nào?
Bảng tin