Vui lòng chỉ chọn một câu hỏi
Hoidap247.com Nhanh chóng, chính xác
+
Danh mục mới
0
2580
Hãy luôn nhớ cảm ơn và vote 5* nếu câu trả lời hữu ích nhé!
10057
439
7372
Đáp án:
Giải thích các bước giải:
Hãy giúp mọi người biết câu trả lời này thế nào?
2922
41278
2388
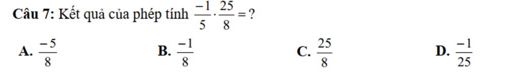
Kết quả là:
`(-1)/5*25/8=(-25)/40=(-5)/8`
`to A`
Bảng tin
Gửi yêu cầu Hủy