Vui lòng chỉ chọn một câu hỏi
Hoidap247.com Nhanh chóng, chính xác
+
Danh mục mới
0
2320
Hãy luôn nhớ cảm ơn và vote 5* nếu câu trả lời hữu ích nhé!
5012
2111
1555
`Accnswer`
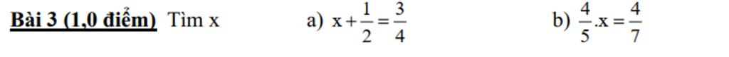
`a)x+1/2=3/4`
`=>x=3/4-1/2`
`=>x=1/4`
Vậy `x=1/4`
`b)4/5 .x=4/7`
`=>x=4/7 . 5/4`
`=>x=5/7`
Vậy `x=5/7`
Hãy giúp mọi người biết câu trả lời này thế nào?
7475
438
4482
m hack à 💀💀 não t ko kịp load luôn =)) ghê thật
https://hoidap247.com/cau-hoi/6838232
:)))
6039
2359
6598
Đào mà kh cho mình đào chung v =))
Bài `3:`
`=> x=3/4-2/4`
`=> x=4/7 : 4/5`
Bảng tin
Gửi yêu cầu Hủy
7475
438
4482
m hack à 💀💀 não t ko kịp load luôn =)) ghê thật
5012
2111
1555
https://hoidap247.com/cau-hoi/6838232
5012
2111
1555
:)))
6039
2359
6598
Đào mà kh cho mình đào chung v =))