Đăng nhập để hỏi chi tiết


Hãy luôn nhớ cảm ơn và vote 5*
nếu câu trả lời hữu ích nhé!
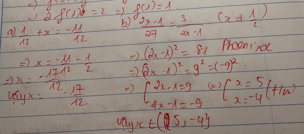
Bài `1:`
`a)` `1/2 + x= (-11)/12`
`=> x=(-11)/12 - 1/2`
`=> x=(-11)/12 - 6/12`
`=> x=(-17)/12`
Vậy `x=(-17)/12`
`b)` `(2x-1)/27=3/(2x-1)`
`=> (2x-1)^2 = 27.3`
`=> (2x-1)^2 = 81`
`=> (2x-1)^2=9^2` hoặc `(-9)^2`
`=> 2x-1=9` hoặc `2x-1=-9`
`=> 2x=10` hoặc `2x=-8`
`=> x=5` hoặc `x=-4`
Vậy `x in {-4;5}`
Hãy giúp mọi người biết câu trả lời này thế nào?
Bảng tin