Vui lòng chỉ chọn một câu hỏi
Hoidap247.com Nhanh chóng, chính xác
+
Danh mục mới
0
2220
Hãy luôn nhớ cảm ơn và vote 5* nếu câu trả lời hữu ích nhé!
380
-455
167
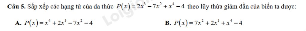
Câu `5:`
Sắp xếp `P(x)` theo lũy thừa giảm dần của biến ta được:
`P(x) = x^4 + 2x^3 - 7x^2 - 4`
`=>` Chọn `A`
Hãy giúp mọi người biết câu trả lời này thế nào?
3667
35143
2118
Câu 5:
Sắp xếp các hạng tử của đa thức `P ( x)` ta được:`x^4 + 2x^3 - 7x^2 - 4`
`=>A` đúng
Bảng tin
Gửi yêu cầu Hủy