

Hãy luôn nhớ cảm ơn và vote 5*
nếu câu trả lời hữu ích nhé!
`color[violet][#nvm]`
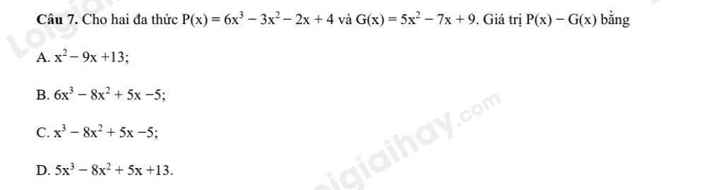
Câu `7:`
`P(x)-G(x)=(6x^3 -3x^2 - 2x + 4) - (5x^2 - 7x+9)`
`P(x)-G(x)=6x^3 - 3x^2 - 2x+4 - (-5x^2) + 7x-9`
`P(x)-G(x)=6x^3 - (3x^2 + 5x^2) + (-2x+7x) + (4-9)`
`P(x)-G(x)=6x^3 - 8x^2 +5x +(-5)`
`P(x)-G(x)=6x^3 - 8x^2 + 5x -5`
Vậy `P(x)-G(x)=6x^3 - 8x^2 + 5x -5`
`=>` Chọn `bb B.`
`---------------`
`color[cyan][#nvm]`
Hãy giúp mọi người biết câu trả lời này thế nào?
`#Huyn`
`P(x) - G(x) = (6x^3 - 3x^2 - 2x + 4) - (5x^2 - 7x + 9)`
`= 6x^3 - 3x^2 - 2x + 4 - 5x^2 + 7x - 9`
`= 6x^3 + -3x^2 + -2x + 4 + -5x^2 + 7x + (-9)`
`= 6x^3 + (-3x^2 + -5x^2) + (-2x + 7x) + 4 + (-9)`
`= 6x^3 + -8x^2 + 5x + (-5)`
`= 6x^3 - 8x^2 + 5x - 5`
`->` `B`
Hãy giúp mọi người biết câu trả lời này thế nào?
Bảng tin
270
117
194
Xin câu này nha
7475
438
4481
okayy =)) thoải mái nha Easter