Vui lòng chỉ chọn một câu hỏi
Hoidap247.com Nhanh chóng, chính xác
+
Danh mục mới
0
1880
Hãy luôn nhớ cảm ơn và vote 5* nếu câu trả lời hữu ích nhé!
10057
751
7379
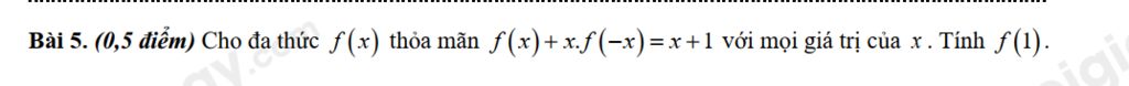
Đáp án:
Giải thích các bước giải:
Hãy giúp mọi người biết câu trả lời này thế nào?
2119
17732
2477
`color{#66F4FF}{#SiuQuay}`
:?
E đào ở kho đề thi á anh
A có nói chi đâu , ý là nói e đào giỏi á
Bảng tin
Gửi yêu cầu Hủy