Đăng nhập để hỏi chi tiết


Hãy luôn nhớ cảm ơn và vote 5*
nếu câu trả lời hữu ích nhé!
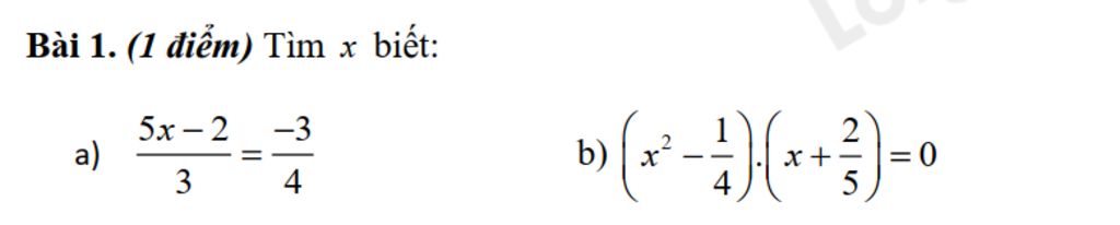
Bài `1:`
`a)` `(5x-2)/3=(-3)/4`
`=> 5x-2=(-3.3)/4`
`=> 5x-2=-9/4`
`=> 5x=-9/4+2`
`=> 5x=-1/4`
`=> x=-1/4 : 5`
`=> x=-1/4 . 1/5`
`=> x=-1/20`
Vậy `x=-1/20`
`b)` `(x^2 - 1/4) . (x+2/5)=0`
`*** TH1:` `x^2-1/4=0`
`=> x^2=1/4`
`=> x^2=(1/2)^2` hoặc `(-1/2)^2`
`=> x=1/2` hoặc `x=-1/2`
`***` `TH2:` `x+2/5=0`
`=> x=-2/5`
Vậy `x={1/2;-1/2;2/5}`
Hãy giúp mọi người biết câu trả lời này thế nào?
Bảng tin