PH/HS Tham Gia Nhóm Lớp 10 Để Trao Đổi Tài Liệu, Học Tập Miễn Phí!
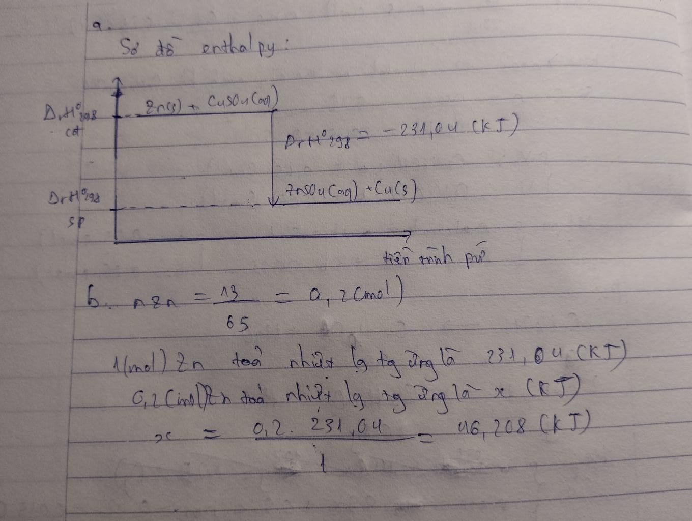
Câu 2: Cho phương trình nhiệt hoá học sau:
Zn(s) + CuSO4 (aq) -> ZnSO4(aq) + Cu(s) A,H-231,04 kJ
a) Vẽ sơ đồ biểu diễn biến thiên enthalpy của phản ứng.
b) Tính lượng nhiệt toả ra khi dùng 13 g Zn phản ứng vừa đủ với dung dịch CuSO4.