

Hãy luôn nhớ cảm ơn và vote 5*
nếu câu trả lời hữu ích nhé!
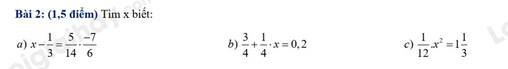
Đáp án + Giải thích các bước giải:
`x - 1/3 = 15/4 * (-7)/6`
`x - 1/3 = 5/4 * (-7)/2`
`x - 1/3 = (-35)/8.`
`x = (-35)/8 + 1/3`
`x = (-105)/24 + 8/24`
`x = (-97)/24.`
Vậy `x = (-97)/24.`
`---`
`3/4 + 1/4 * x = 0,2.`
`3/4 + 1/4 * x = 1/5.`
`1/4 * x = 1/5 - 3/4.`
`1/4 * x = 4/20 - 15/20.`
`1/4 * x = (-11)/20`
`x = (-11)/20 : 1/4.`
`x= (-11)/20 * 4`
`x = (-44)/20 = (-11)/5.`
Vậy `x = (-11)/5.`
`---`
`1/12 * x^2 = 1 1/3.`
`1/12 * x^2 = 4/3.`
`x^2 = 4/3 : 1/12.`
`x^2 = 4/3 * 12`
`x^2 = 48/3.`
`x^2 = 16.`
`x^2 = 4^2.`
`=>` Vậy `x = 4` hay `x = -4.`
`=>` Vậy `x ∈ {4 ; -4}.`
Hãy giúp mọi người biết câu trả lời này thế nào?
$\color{green}{\triangleright \triangleright\texttt{LuKieBoy} \color{pink}{\texttt{SK} \triangleleft \triangleleft}}$
Đáp án+Giải thích các bước giải:
`a)x-1/3=15/4 . (-7/6)`
`=>x-1/3=-35/8`
`=>x=-35/8+1/3`
`=>x=-105/24+8/24`
`=>x=-97/24`
Vậy `x=-97/24`
`b)3/4+1/4x=0,2`
`=>3/4+1/4x=1/5`
`=>1/4x=1/5-3/4`
`=>1/4x=4/20-15/20`
`=>1/4x=-11/20`
`=>x=-11/20:1/4`
`=>x=-11/5`
Vậy `x=-11/5`
`c)1/12 .x^2=1 1/3`
`=>1/12 .x^2=4/3`
`=>x^2=4/3 :1/12`
`=>x^2=16`
`=>x^2=4^2`
`=>[(x=4),(x=-4):}`
Vậy `x in{4;-4}`
Hãy giúp mọi người biết câu trả lời này thế nào?
Bảng tin