Tham Gia Group Dành Cho Lớp 8 Chia Sẻ, Trao Đổi Tài Liệu Miễn Phí
crn
âu 12. Một chiếc tivi màn hình phẳng có chiều rộng và chiều dài đo được lần lượt là 72cm và 120cm
àn hình chiếc tivi đó theo đơn vị inch bằng (biết 1 inch ~ 2,54cm ): A. 65 inch
Thần II: TỰ LUẬN
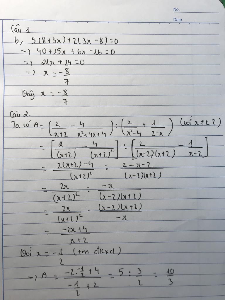
ai 1: Tìm x biết: : a. 16 –8r = 0
8x
Bài 2: Cho biểu thức: A =
16
2
B. 55 inch
xuông tạ ...