

Hãy luôn nhớ cảm ơn và vote 5*
nếu câu trả lời hữu ích nhé!
Đây là câu trả lời đã được xác thực
Câu trả lời được xác thực chứa thông tin chính xác và đáng tin cậy, được xác nhận hoặc trả lời bởi các chuyên gia, giáo viên hàng đầu của chúng tôi.
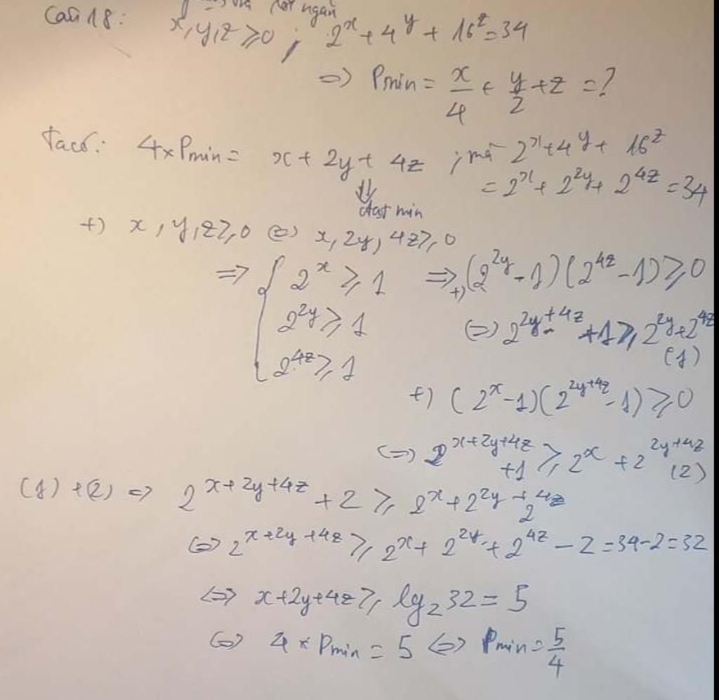
Ta có : `2^x+4^y+16^z=2^x+2^{2y}+2^{4z}=34` `(x,y,z>=0)`
Tổng quát : `(2^a-1)(2^b-1)>=0` `(` Vì `a,b>=0)`
`<=>2^a 2^b-2^a -2^b+1>=0`
`<=>2^{a+b}+1>=2^a+2^b`
Áp dụng : `2^{x+2y}+1>=2^x+2^{2y}`
`<=>2^{x+2y}+1+2^{4z}>=2^x+2^{2y}+2^{4z}=34`
`<=>2^{x+2y}+2^{4z}>=33`
Lại có `2^{(x+2y)+4z}+1>=2^{x+2y}+2^{4z}>=33`
`<=>2^{x+2y+4z}>=32=2^5<=>x+2y+4z>=5`
Suy ra : ` P=x/4+y/2+z>=5/4`
Vậy `P_{M i n}=5/4`
Hãy giúp mọi người biết câu trả lời này thế nào?
Bảng tin
1615
844
2601
tien len kh idol=))
3727
1017
3326
hong dám nhận ai đồ, vs lại đng chạy bài mai thi roài :((
1615
844
2601
uii thế chúc thi tốt :D
3727
1017
3326
Kê, tocamon :>
1615
844
2601
hị hị kcj