

Quy đông
Hãy luôn nhớ cảm ơn và vote 5*
nếu câu trả lời hữu ích nhé!
Ta có
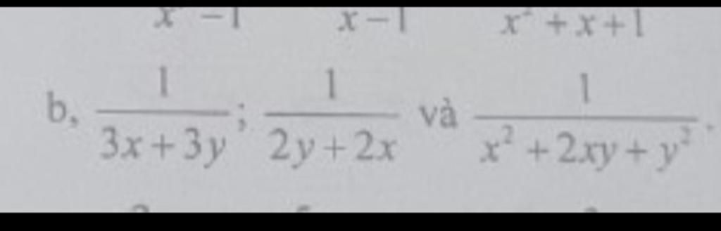
`*` `3x+3y=3(x+y)`
`*` `2y+2x=2(y+x)=2(x+y)`
`*` `x^2+2xy+y^2=(x+y)^2`
`=>` `MTC=6(x+y)^2`
Ta được
`+)` `1/(3x+3y)=(1.2(x+y))/(6(x+y)^2)=(2(x+y))/(6(x+y)^2)`
`+)` `1/(2y+2x)=(1.3(x+y))/(6(x+y)^2)=(3(x+y))/(6(x+y)^2)`
`+)` `1/(x^2+xy+y^2)=(1.6)/(6(x+y)^2)=6/(6(x+y)^2)`
Hãy giúp mọi người biết câu trả lời này thế nào?

Đáp án:
MTC: 6(x+y)²
Quy đồng:
$\frac{1}{3x+3y}$ =$\frac{1.2(x+y)}{3(x+y).2(x+y)}$ =$\frac{2(x+y)}{6(x+y)^{2}}$
$\frac{1}{2x+2y}$ =$\frac{1.3(x+y)}{2(x+y).3(x+y)}$ =$\frac{3(x+y)}{6(x+y)^{2}}$
$\frac{1}{x^{2}+2xy+y^{2}}$ =$\frac{1.6}{(x+y)^{2}.6}$ =$\frac{6}{6(x+y)^{2}}$
Hãy giúp mọi người biết câu trả lời này thế nào?

Bảng tin