Vui lòng chỉ chọn một câu hỏi
Hoidap247.com Nhanh chóng, chính xác
+
Danh mục mới
54
1539
17
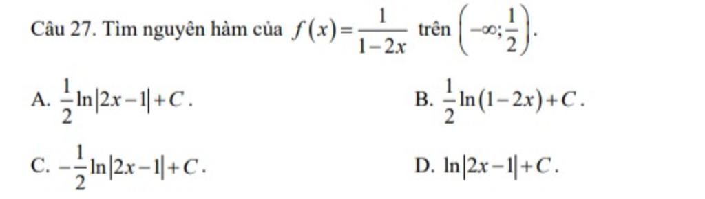
tìm nguyên hàm của hàm số f(x)=1/1-2x trên (- vô cùng, 1/2)
Hãy luôn nhớ cảm ơn và vote 5* nếu câu trả lời hữu ích nhé!
9057
97560
5314
Ta có: `int f(x)dx=int 1/(1-2x)dx`
Đặt: `t=1-2x` `=>` `dt=-2dx` hay `dx=(-dt)/2`
`=>` `int f(x)dx=int 1/t*(-dt)/2=-1/2int (dt)/t=-1/2ln|t|+C`
`=>` `int f(x)dx=-1/2ln|1-2x|+C=-1/2ln|2x-1|+C`
`=>` Chọn `C`
Hãy giúp mọi người biết câu trả lời này thế nào?
Bảng tin
Gửi yêu cầu Hủy