Vui lòng chỉ chọn một câu hỏi
Hoidap247.com Nhanh chóng, chính xác
+
Danh mục mới
0
211
rut gon
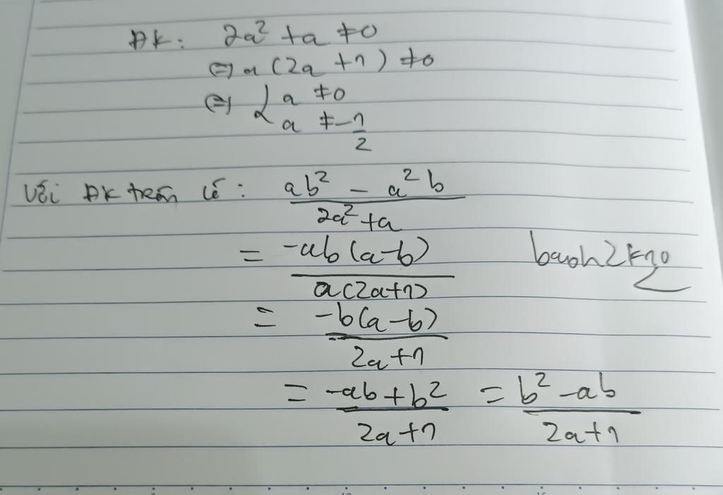
ab^2-a^2b/2a^2+a
Hãy luôn nhớ cảm ơn và vote 5* nếu câu trả lời hữu ích nhé!
2949
42434
4834
Đáp án+Giải thích các bước giải:
` (ab^2-a^2b)/(2a^2+a)`
`= (ab(b-a))/(a(2a+1))`
`= (b(b-a))/(2a+1)`
Điều kiện `2a+1 \ne 0`
`-> 2a \ne -1`
`-> a \ne -1/2`
Hãy giúp mọi người biết câu trả lời này thế nào?
319
4569
208
Đáp án:
Giải thích các bước giải:
Bảng tin
Gửi yêu cầu Hủy