

Hãy luôn nhớ cảm ơn và vote 5*
nếu câu trả lời hữu ích nhé!
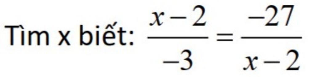
Đáp án + Giải thích các bước giải:
`(x - 2)/-3 = (-27)/(x - 2)`
`(x - 2) * (x - 2) = (-27) * (-3)`
`(x - 2)^2 = 81`
`(x - 2)^2 = 9^2`
`TH1: x - 2 = 9`
`x = 9 + 2`
`x = 11`
`TH2: x - 2 = -9`
`x = -9 + 2`
`x = -7`
Vậy `x` $\in$ `{11 ; -7}`
Hãy giúp mọi người biết câu trả lời này thế nào?
![]()
Đáp án + Giải thích các bước giải:
`(x-2)/(-3)=-27/(x-2)`
`(x-2)^2=(-3)xx(-27)`
`(x-2)^2=81`
`(x-2)^2=(+-9)^2`
`+) x-2=9`
`x=11`
`+) x-2=-9`
`x=-7`
Hãy giúp mọi người biết câu trả lời này thế nào?
![]()
Bảng tin