

Tìm a, b, c biết:
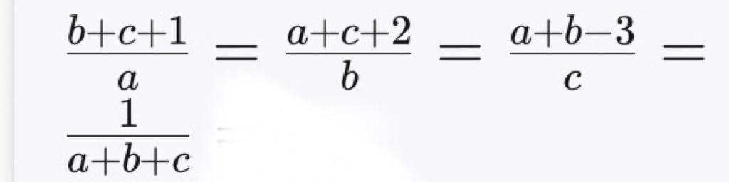
(b+c+1)/a = (a+c+2)/b = (a+b-3)/c = 1/(a+b+c)
Hãy luôn nhớ cảm ơn và vote 5*
nếu câu trả lời hữu ích nhé!
Đáp án`+`Giải thích các bước giải`:`
Áp dụng tính chất của dãy tỉ số bằng nhau `,` ta có `:`
`(b+c+1)/a=(a+c+2)/b=(a+b-3)/c=((b+c+1)+(a+c+2)+(a+b-3))/(a+b+c)=(2a+2b+2c)/(a+b+c)`
`=(2(a+b+c))/(a+b+c)=2`
`=>(b+c+1)/a=(a+c+2)/b=(a+b-3)/c=-1/(a+b+c)=2`
`=>b+c+1=2a` `(1)`
`a+c+2=2b` `(2)`
`a+b-3=2c` `(3)`
`(a+b+c)=1/2` `(4)`
Lại có `:`
`@` `a+b+c=1/2=>b+c=1/2-a`
Thay vào `(1)` ta được `:`
`1/2-a+1=1/2=>3a=3/2=>a=1/2`
`@` `a+b+c=1/2=>a+c=1/2-b`
Thay vào `(2)` ta được `:`
`1/2-b+2=2b=>3b=5/2=>b=5/6`
`@` `a+b+c=1/2+5/6+c=1/2`
`=>c=-5/6`
Vậy `:` `(a;b;c)=(1/2;5/6;(-5)/6)`
Hãy giúp mọi người biết câu trả lời này thế nào?
![]()
Đáp án+Giải thích các bước giải:
Áp dụng tính chất dãy tỉ số bằng nhau ta có:
`(b+c+1)/a=(a+c+2)/b=(a+b-3)/c=(b+c+1+a+c+2+a+b-3)/(a+b+c)=(2a+2b+2c)/(a+b+c)`
`=( 2(a+b+c) )/(a+b+c)=2`
Ta có: `(b+c+1)/a=(a+c+2)/b=(a+b-3)/c=1/(a+b+c`
`=> 1/(a+b+c)= 2=> a+b+c=1/2`
Lại có: `(b+c+1)/a=2=> b+c+1=2a => a+b+c+1=a+2a`
`=> a+b+c+1=3a` `` `(1)`
Thay `a+b+c=1/2` vào `` `(1)` ta được:
`a+b+c+1=3a=> 1/2+1=3a=> 3/2=3a=> a=3/2:3=1/2`
Chứng minh tượng tự ta được:
`a+b+c+2=3b=> b=5/6`
`a+b+c-3=3c=> c=-5/6`
Vậy `(a;b;c)` thỏa mãn là: `` `(1/2;5/6;-5/6)`
Hãy giúp mọi người biết câu trả lời này thế nào?
![]()
Bảng tin