

Làm giúp mình với sos
Hãy luôn nhớ cảm ơn và vote 5*
nếu câu trả lời hữu ích nhé!
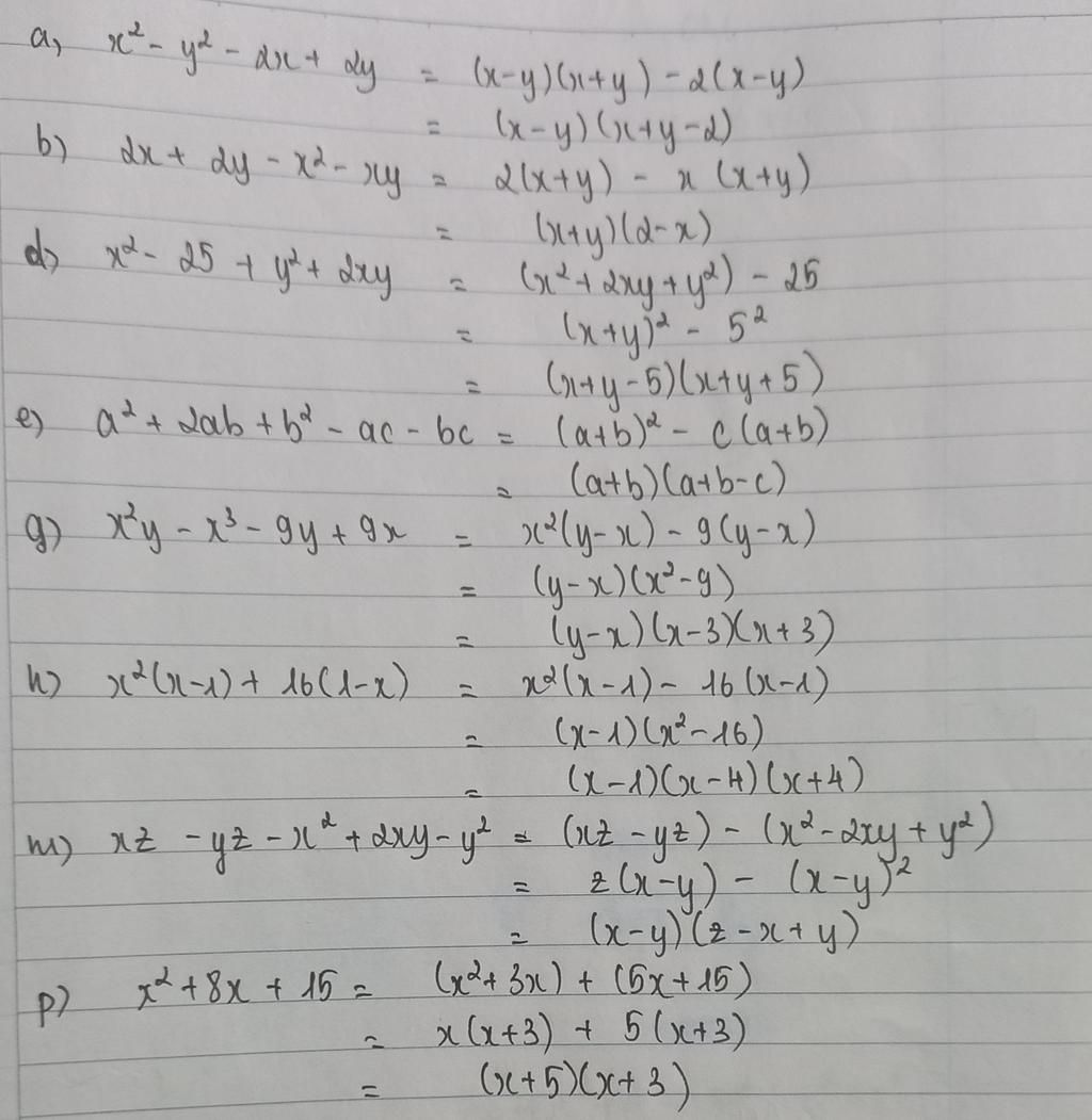
`a,x^2-y^2-2x+2y=(x-y)(x+y)-2(x-y)=(x-y)(x+y-2)`
`b,2x+2y-x^2-xy=2(x+y)-x(x+y)=(x+y)(2-x)`
`d,x^2-25+y^2+2xy=(x+y)^2-25=(x+y-5)(x+y+5)`
`e,a^2+2ab+b^2-ac-bc=(a+b)^2-c(a+b)=(a+b)(a+b-c)`
`g,x^2y-x^3-9y+9x=x^2(y-x)-9(y-x)=(y-x)(x^2-9)=(y-x)(x-3)(x+3)`
`h,x^2(x-1)+16(1-x)=x^2(x-1)-16(x-1)=(x-1)(x^2-16)=(x-1)(x-4)(x+4)`
`m,xz-yz-x^2+2xy-y^2=z(x-y)-(x-y)^2=(x-y)(z-x+y)`
`p,x^2+8x+15=x(x+3)+5(x+3)=(x+3)(x+5)`
Hãy giúp mọi người biết câu trả lời này thế nào?
![]()
Bảng tin