

helpppppppppppppppppppppppppppppppppppppppppppppppppppppppppp me
Hãy luôn nhớ cảm ơn và vote 5*
nếu câu trả lời hữu ích nhé!
Đáp án`+`Giải thích các bước giải`:`
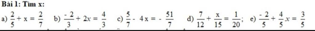
`a)`
`2/5+x=2/7`
`=>x=2/7-2/5`
`=>x=-4/35`
Vậy `:x=-4/35`
`b)`
`(-2)/3+2x=4/3`
`=>2x=4/3-(-2/3)`
`=>2x=2`
`=>x=2:2=1`
Vậy `:x=1`
`c)`
`5/7 -4x=-51/7`
`=>4x=5/7-(-51/7)`
`=>4x=8`
`=>x=8:4=2`
Vậy `:x=2`
`d)`
`7/12+x/15=1/20`
`=>x/15=1/20-7/12`
`=>x/15=8/15`
`=>x=8/15 . 15=8`
Vậy `:x=8`
`e)`
`(-2)/5+4/5 x=3/5`
`=>4/5 x=3/5-(-2/5)`
`=>4/5 x=1`
`=>x=1 : 4/5=5/4`
Vậy `:x=5/4`
Hãy giúp mọi người biết câu trả lời này thế nào?
![]()
`a)`
`2/5 + x = 2/7 `
`⇒ x = 2/7 - 2/5`
`⇒ x = {10}/{35} - {14}/{35}`
`⇒ x = -4/{35}`
`b)`
`-2/3 + 2x = 4/3 `
`⇒ 2x = 4/3 + 2/3`
`⇒ 2x = 6/3`
`⇒ 2x = 2`
`⇒ x = 1`
`c)`
`5/7 - 4x = - {51}/7`
`⇒ 4x = 5/7 - ( - {51}/7 )`
`⇒ 4x = 5/7 + {51}/7`
`⇒ 4x = {56}/7`
`⇒ 4x = 8`
`⇒ x = 2`
`d)`
`7/{12} + x/{15} = 1/{20}`
`⇒ x/{15} = 1/{20} - 7/{12}`
`⇒ x/{15} = 3/{60} - {35}/{60}`
`⇒ x/{15} = - {32}/{60}`
`⇒ x/{15} = - 8/{15}`
`⇒ x = -8`
`e)`
`-2/5 + 4/5x = 3/5`
`⇒ 4/5x = 3/5 - ( - 2/5 )`
`⇒ 4/5x = 3/5 + 2/5`
`⇒ 4/5x = 1`
`⇒ x = 5/4`
Hãy giúp mọi người biết câu trả lời này thế nào?
![]()
Bảng tin