

Hãy luôn nhớ cảm ơn và vote 5*
nếu câu trả lời hữu ích nhé!
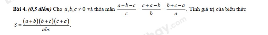
Trường hợp 1: Xét `a + b + c ne 0`
Ta có:
`(a + b - c)/c = (c + a - b)/b = (b + c - a)/a`
`=> 2 + (a + b - c)/c = 2 + (c + a - b)/b = 2 + (b + c - a)/a`
`=> (a +b + c)/c = (c+a+b)/b = (b + c + a)/a`
`=>` `a = b = c`
Từ đó, suy ra:
`S = ((a+b)(b+c)(c+a))/(abc)`
`=> S = ((a+a)(a+a)(a+a))/(aaa)`
`=> S = (2a . 2a . 2a)/(a^3)`
`=> S = (8a^3)/(a^3)`
`=> S = 8`
Trường hợp 2: `a+b+c ne 0`
`=> `{(a+b=-c),(b+c = -a),(a + c = -b):}`
Từ đó, suy ra:
`S = ((a+b)(b+c)(c+a))/(abc)`
`=> S = ((-c)(-a)(-b))/(abc)`
`=> S = -1`
Vậy, `S in {8;-1}`
Hãy giúp mọi người biết câu trả lời này thế nào?
Bảng tin