Đăng nhập để hỏi chi tiết


Hãy luôn nhớ cảm ơn và vote 5*
nếu câu trả lời hữu ích nhé!
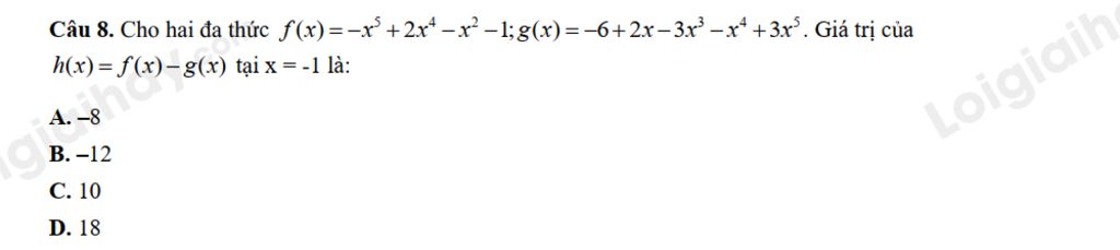
`h(x) = (-x^5 + 2x^4 - x^2 - 1) - (-6 + 2x - 3x^3 - x^4 + 3x^5)`
`h(x) = -x^5 + 2x^4 - x^2 - 1 + 6 - 2x + 3x^3 + x^4 - 3x^5`
`h(x) = -4x^5 + 3x^4 + 3x^3 - x^2 - 2x + 6`
`h(-1) = -4 . (-1)^5 + 3 . (-1)^4 + 3 . (-1)^3 - (-1)^2 - 2(-1) + 6`
`h(-1) = 4 + 3 - 3 - 1 + 2 + 6`
`h(-1) = 10`
Vậy `h(x) = 10` khi `x = -1`
`=>` Chọn `C`
Hãy giúp mọi người biết câu trả lời này thế nào?
Bảng tin