

Hãy luôn nhớ cảm ơn và vote 5*
nếu câu trả lời hữu ích nhé!
Đáp án:
Giải thích các bước giải:
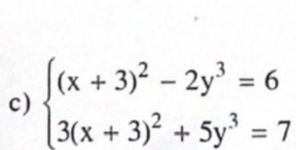
` { ( ( x + 3 )^2 - 2y^3 = 6 ) , ( 3( x + 3 )^2 + 5y^3 = 7 ) :} `
Đặt ` ( x + 3 )^2 = a , y^3 = b `
` { ( a - 2b = 6 ) , ( 3a + 5b = 7 ) :} `
` <=> { ( a = 2b + 6 ) , ( 3( 2b + 6 ) + 5b = 7 ) :} `
` <=> { ( a = 2b + 6 ) , ( 6b + 18 + 5b = 7 ) :} `
` <=> { ( a = 2b + 6 ) , ( 11b = -11 ) :} `
` <=> { ( a = 2b + 6 ) , ( b = -1 ) :} `
` <=> { ( a = -1 . 2 + 6 ) , ( b = -1 ) :} `
` <=> { ( a = 4 ) , ( b = -1 ) :} `
` a = 4 => ( x + 3 )^2 = 4 `
` => ` \(\left[ \begin{array}{l}x + 3 = 2\\x+ 3 = -2 \end{array} \right.\)
` => ` \(\left[ \begin{array}{l}x=-1\\x=-5\end{array} \right.\)
` b = -1 => y^3 = -1 => y = -1 `
Hãy giúp mọi người biết câu trả lời này thế nào?

Đáp án+Giải thích các bước giải:
`c){((x+3)^2-2y^3=6),(3(x+3)^2+5y^3=7):}`
`<=>{(3(x+3)^2-6y^3=18),(3(x+3)^2+5y^3=7):}`
`<=>{(-11y^3=11),((x+3)^2-2y^3=6):}`
`<=>{(y^3=-1),((x+3)^2-2y^3=6):}`
`<=>{(y=-1),((x+3)^2-2.(-1)^3=6):}`
`<=>{(y=-1),((x+3)^2=4):}`
`<=>{(y=-1),(x+3=2 hoặc x+3=-2):}`
`<=>{(y=-1),(x=-1 hoặc x=-5):}`
Hãy giúp mọi người biết câu trả lời này thế nào?
Bảng tin