

Hãy luôn nhớ cảm ơn và vote 5*
nếu câu trả lời hữu ích nhé!
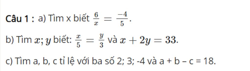
Câu `1:`
`a)` `6/x = (-4)/5`
`=> x = ( 6 . 5 )/(-4)`
`=> x = (-15)/2`
Vậy `x = (-15)/2`
`b)` `x/5 = y/3`
`=> x/5 = (2y)/6`
Áp dụng tính chất dãy tỉ số bằng nhau, ta có:
`x/5 = (2y)/6 = ( x + 2y )/( 5 + 6 ) = 33/11 = 3`
`=>` `x = 5 . 3 = 15`
`y = ( 3 . 6 )/2 = 9`
Vậy `x=15;y=9`
`c)` `a , b , c` tỉ lệ với `2 ; 3 ; 4`
`=> a/2 = b/3 = c/(-4)`
Áp dụng tính chất dãy tỉ số bằng nhau, ta có:
`a/2 = b/3 = c/(-4) = ( a + b - c )/( 2 + 3 - (-4) ) = 18/9 = 2`
`=>` `a = 2 . 2 = 4`
`b = 2 . 3 = 6`
`c = 2 . ( -4 ) = -8`
Vậy `a=4;b=6;c=-8`
Hãy giúp mọi người biết câu trả lời này thế nào?
Câu `1 :`
`a)`
`6/x = (-4)/5`
`=> x . (-4) = 6 . 5`
`=> x = ( 6 . 5 )/(-4)`
`=> x = (-15)/2`
`b)`
`x/5 = y/3 => x/5 = (2y)/6`
Áp dụng tính chất dãy tỉ số bằng nhau , ta có :
`x/5 = (2y)/6 = ( x + 2y )/( 5 + 6 ) = 33/11 = 3`
Từ đó : `x = 5 . 3 = 15`
`y = ( 3 . 6 )/2 = 9`
`c)`
`a , b , c` tỉ lệ với `2 ; 3 ; 4`
`=> a/2 = b/3 = c/(-4)`
Áp dụng tính chất dãy tỉ số bằng nhau , ta có :
`a/2 = b/3 = c/(-4) = ( a + b - c )/( 2 + 3 - (-4) ) = 18/9 = 2`
Từ đó : `a = 2 . 2 = 4`
`b = 2 . 3 = 6`
`c = 2 . ( -4 ) = -8`
Hãy giúp mọi người biết câu trả lời này thế nào?
Bảng tin