

Hãy luôn nhớ cảm ơn và vote 5*
nếu câu trả lời hữu ích nhé!
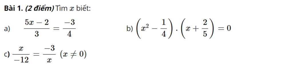
Bài `1:`
`a, (5x-2)/3 = (-3)/4`
`⇒ 4(5x-2) = -3. 3`
`⇒ 20x - 8 = -9`
`⇒ 20x = -9 + 8`
`⇒ 20x = -1`
`⇒ x = -1/20`
Vậy `x=-1/20`
`b, (x^2 - 1/4).(x+2/5) = 0`
`TH1:`
`x^2 -1/4 = 0`
`x^2 = 1/4`
`⇒ x = ± 1/2`
`TH2:`
` x + 2/5 = 0`
` x= -2/5`
Vậy `xin {-2/5'±1/2}`
`c, x/-12 = (-3)/x `
`⇒ x^2 = (-3).(-12)`
`⇒ x^2 = 36`
`⇒ x = ± 6`
Vậy `x in {±6}`
Hãy giúp mọi người biết câu trả lời này thế nào?
Đáp án `+` Giải thích các bước giải `:`
`a)` `(5x-2)/3 = (-3)/4`
`=>` `(5x-2) . 4 = (-3) . 3`
`=>` `20x - 8 = -9`
`=>` `20x = (-9) + 8`
`=>` `20x = -1`
`=>` `x = (-1) : 20`
`=>` `x = (-1)/20`
Vậy `x = (-1)/20`
``
`b)` `(x^2 - 1/4) . (x + 2/5) = 0`
TH`1` `:` `x^2 - 1/4 = 0`
`=>` `x^2 = 0 + 1/4`
`=>` `x^2 = 1/4`
`=>` `x^2 = (+-1/2)^2`
`=>` `x = +-1/2`
TH`2` `:` `x + 2/5 = 0`
`=>` `x = 0 - 2/5`
`=>` `x = -2/5`
Vậy `x in {+-1/2 ; -2/5}`
``
`c)` `x/(-12) = (-3)/x`
`=>` `x . x = (-12) . (-3)`
`=>` `x^2 = 36`
`=>` `x^2 = (+-6)^2`
`=>` `x = +-6`
Vậy `x = +-6`
Hãy giúp mọi người biết câu trả lời này thế nào?
Bảng tin