Vui lòng chỉ chọn một câu hỏi
Hoidap247.com Nhanh chóng, chính xác
+
Danh mục mới
0
2440
Hãy luôn nhớ cảm ơn và vote 5* nếu câu trả lời hữu ích nhé!
10057
439
7374
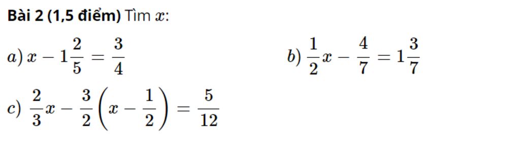
Đáp án:
Giải thích các bước giải:
Hãy giúp mọi người biết câu trả lời này thế nào?
7476
448
4483
bám em đi anh
Kê
2394
1357
4651
bám tôi i bạn
2094
9087
765
Bảng tin
Gửi yêu cầu Hủy
7476
448
4483
bám em đi anh
10057
439
7374
Kê
2394
1357
4651
bám tôi i bạn