

Hãy luôn nhớ cảm ơn và vote 5*
nếu câu trả lời hữu ích nhé!
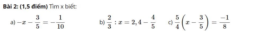
Bài `2:`
`a) -x - 3/5 = -1/10`
`=> -3/5 = -1/10 + x`
`=> x=-3/5 - (-1/10)`
`=> x=-6/10 + 1/10`
`=> x=-1/2`
Vậy `x=-1/2`
`b)` `2/3 : x=2,4 - 4/5`
`=> 2/3:x=12/5 - 4/5`
`=> 2/3:x=8/5`
`=> x=2/3 : 8/5`
`=> x=2/3 . 5/8`
`=> x=5/12`
Vậy `x=5/12`
`c)` `5/4 ( x-3/5)=-1/8`
`=> x-3/5 = -1/8 : 5/4`
`=> x-3/5=-1/8 . 4/5`
`=> x-3/5 = -1/10`
`=> x=-1/10 + 3/5`
`=> x=-1/10 + 6/10`
`=> x=1/2`
Vậy `x=1/2`
Hãy giúp mọi người biết câu trả lời này thế nào?
a)`-x-3/5=-1/10`
`⇒-3/5=-1/10+x`
`⇒x=-3/5-(-1/10)`
`⇒x=-6/10+1/10`
`⇒=-1/2`
Vậy `x=-1/2`
`b)`
`2/3:x=2,4-4/5`
`2/3:x=12/5-4/5`
`2/3:x=8/5`
`x=2/3:8/5`
`x=2/3xx8/5`
`x=5/12`
`c)`
`5/4(x-3/5)=(-1)/8`
`x-3/5=-1/8: 5/4`
`x-3/5=-1/8 . 4/5`
`x-3/5=-1/10`
`x=-1/10 + 3/5`
`x=-1/10+ 6/10`
`x=1/2`
Vậy `x=1/2`
Hãy giúp mọi người biết câu trả lời này thế nào?
Bảng tin