

Hãy luôn nhớ cảm ơn và vote 5*
nếu câu trả lời hữu ích nhé!
`A = 7/(1.2) + 7/(2.3) + 7/(3.4) + ... + 7/(2021.2022)`
`A = 7 (1/1 - 1/2 + 1/2 - 1/3 + 1/3 - 1/4 + ... + 1/2021 - 1/2022)`
`A = 7 . (1 - 1/2022)`
`A = 7. 2021/2022`
`A = 14147/2022`
Hãy giúp mọi người biết câu trả lời này thế nào?
Đáp án + giải thích các bước giải:
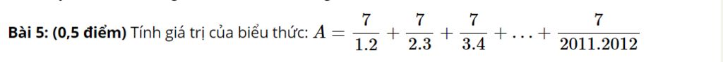
`A = 7/(1.2) + 7/(2.3) + 7/(3.4) + ... + 7/(2021.2022)`
`A = 7 (1/1 - 1/2 + 1/2 - 1/3 + 1/3 - 1/4 + ... + 1/2021 - 1/2022)`
`A = 7 . (1 - 1/2022)`
`A = 7. 2021/2022`
`A = 14147/2022`
`->` $\text{Vậy: }$`A=14147/2022`
$\text{#TokitouMuichiroucute}$
Hãy giúp mọi người biết câu trả lời này thế nào?
Bảng tin