Vui lòng chỉ chọn một câu hỏi
Hoidap247.com Nhanh chóng, chính xác
+
Danh mục mới
0
2480
Hãy luôn nhớ cảm ơn và vote 5* nếu câu trả lời hữu ích nhé!
1017
525
432
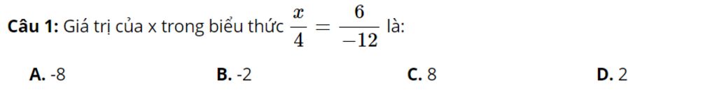
Câu `1:`
`x/4 = 6/(-12)`
`=> x=(4.6)/(-12)`
`=> x=24/(-12)`
`=> x=-2`
Vậy `x=-2`
`=>` Chọn `bb B.`
Hãy giúp mọi người biết câu trả lời này thế nào?
5012
2166
1555
`Accnswer`
`x/4=6/-12`
`=>x=6/-12 .4`
`=>x=-2`
`->bbB`
Bảng tin
Gửi yêu cầu Hủy