Đăng nhập để hỏi chi tiết


Hãy luôn nhớ cảm ơn và vote 5*
nếu câu trả lời hữu ích nhé!
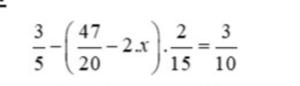
`3/5 - (47/20 - 2x) . 2/15 = 3/10`
`<=> (47/20 - 2x) . 2/15 = 3/5 - 3/10`
`<=> (47/20 - 2x) . 2/15 = 3/10`
`<=> 47/20 - 2x = 3/10 : 2/15`
`<=> 47/20 - 2x = 9/4`
`<=> 2x = 47/20 - 9/4`
`<=> 2x = 1/10`
`<=> x = 1/10 : 2`
`<=> x = 1/20`
Vậy `x = 1/20`
Hãy giúp mọi người biết câu trả lời này thế nào?

Bảng tin