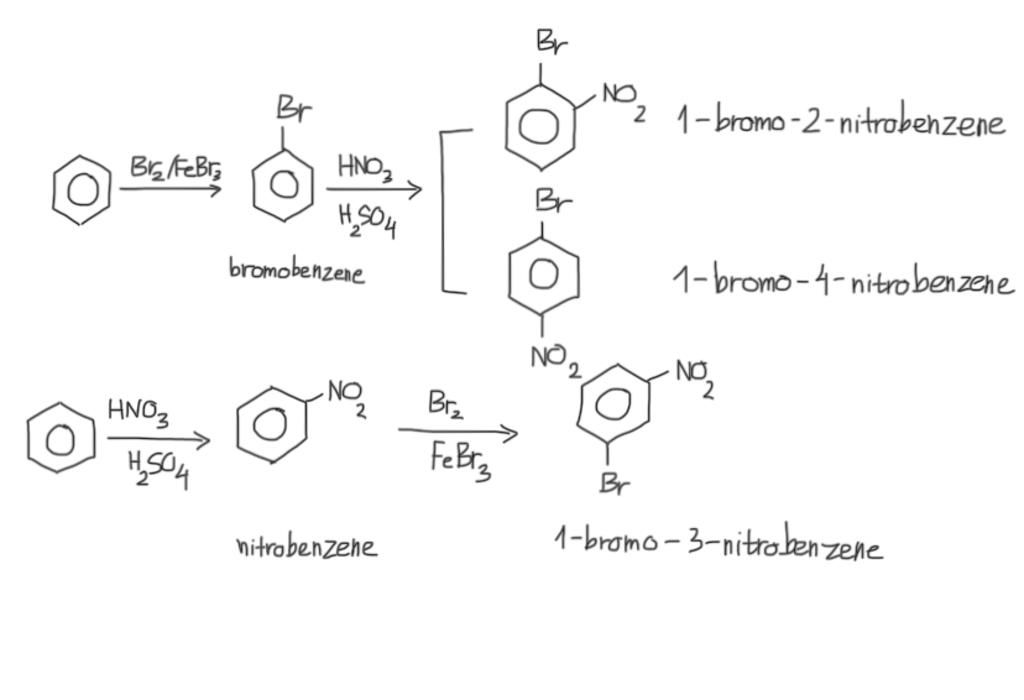
Câu 7:
(SBT – KNTT) Biết nhóm thế —Br trên vòng benzene định hướng thế ưu tiên các vị trí
ortho và para, còn nhóm thế –NOz trên vòng benzene định hướng thế vào vị trí meta.
Hãy xác định cấu tạo và tên gọi của các chất còn thiếu trong mỗi sơ đồ chuyển hoá sau
đây (mỗi phản ứng chỉ xảy r ...
Xem thêm