

Hãy luôn nhớ cảm ơn và vote 5*
nếu câu trả lời hữu ích nhé!

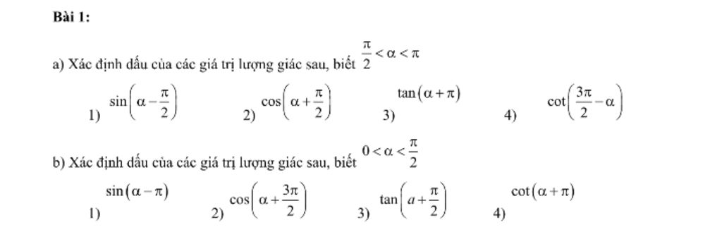
Giải thích các bước giải:
Dựa vào đường tròn lượng giắc ta có:
\(\begin{array}{l}
0 < x < \frac{\pi }{2} \Rightarrow \left\{ \begin{array}{l}
\sin x > 0\\
\cos x > 0
\end{array} \right.\\
\frac{\pi }{2} < x < \pi \Rightarrow \left\{ \begin{array}{l}
\sin x > 0\\
\cos x < 0
\end{array} \right.\\
\pi < x < \frac{{3\pi }}{2} \Rightarrow \left\{ \begin{array}{l}
\sin x < 0\\
\cos x < 0
\end{array} \right.\\
\frac{{3\pi }}{2} < x < 2\pi \Rightarrow \left\{ \begin{array}{l}
\sin x < 0\\
\cos x > 0
\end{array} \right.\\
a,\\
1,\\
\frac{\pi }{2} < \alpha < \pi \Rightarrow 0 < \alpha - \frac{\pi }{2} < \frac{\pi }{2} \Rightarrow \sin \left( {\alpha - \frac{\pi }{2}} \right) > 0\\
2,\\
\frac{\pi }{2} < \alpha < \pi \Rightarrow \pi < \alpha + \frac{\pi }{2} < \frac{{3\pi }}{2} \Rightarrow \cos \left( {\alpha + \frac{\pi }{2}} \right) < 0\\
3,\\
\frac{\pi }{2} < \alpha < \pi \Rightarrow \frac{{3\pi }}{2} < \alpha + \pi < 2\pi \Rightarrow \left\{ \begin{array}{l}
\sin \left( {\alpha + \pi } \right) < 0\\
\cos \left( {\alpha + \pi } \right) > 0
\end{array} \right. \Rightarrow \tan \left( {\alpha + \pi } \right) < 0\\
4,\\
\frac{\pi }{2} < \alpha < \pi \Rightarrow \frac{\pi }{2} < \frac{{3\pi }}{2} - \alpha < \pi \Rightarrow \left\{ \begin{array}{l}
\sin \left( {\frac{{3\pi }}{2} - \alpha } \right) > 0\\
\cos \left( {\frac{{3\pi }}{2} - \alpha } \right) < 0
\end{array} \right. \Rightarrow \cot \left( {\frac{{3\pi }}{2} - \alpha } \right) < 0\\
b,\\
1,\\
0 < \alpha < \frac{\pi }{2} \Rightarrow - \pi < \alpha - \pi < - \frac{\pi }{2} \Leftrightarrow \pi < \alpha - \pi < \frac{{3\pi }}{2} \Rightarrow \sin \left( {\alpha - \pi } \right) < 0\\
2,\\
0 < \alpha < \frac{\pi }{2} \Rightarrow \frac{{3\pi }}{2} < \alpha + \frac{{3\pi }}{2} < 2\pi \Rightarrow \cos \left( {\alpha + \frac{{3\pi }}{2}} \right) > 0\\
3,\\
0 < \alpha < \frac{\pi }{2} \Rightarrow \frac{\pi }{2} < \alpha + \frac{\pi }{2} < \pi \Rightarrow \left\{ \begin{array}{l}
\sin \left( {\alpha + \frac{\pi }{2}} \right) > 0\\
\cos \left( {\alpha + \frac{\pi }{2}} \right) < 0
\end{array} \right. \Rightarrow \tan \left( {\alpha + \frac{\pi }{2}} \right) < 0\\
4,\\
0 < \alpha < \frac{\pi }{2} \Rightarrow \pi < \alpha + \pi < \frac{{3\pi }}{2} \Rightarrow \left\{ \begin{array}{l}
\sin \left( {\alpha + \pi } \right) < 0\\
\cos \left( {\alpha + \pi } \right) < 0
\end{array} \right. \Rightarrow \cot \left( {\alpha + \pi } \right) > 0
\end{array}\)
Hãy giúp mọi người biết câu trả lời này thế nào?
Bảng tin